北京101中学2019-2020学年下学期高一年级期末考试化学试卷

 

1. 本试卷分为Ⅰ卷、Ⅱ卷,共26个小题,满分100分;答题时间为90分钟;全部答案在答题卡上完成,答在本试题上无效。

2. 可能用到的相对原子质量:H 1 O 16 Na 23

 

Ⅰ卷 选择题(共42分)

(共21道小题,每小题只有一个选项符合题意,每小题2分)

1. 我国科学家屠呦呦因发现抗疟新药青蒿素(分子式为C15H22O5)荣获2015年诺贝尔生理学或医学奖。青蒿素属于(

A. 单质 B. 氧化物

C. 混合物 D. 有机物

2. 下列有关化学用语使用不正确的是( )

A. 乙烯的结构简式: B. 丙烯的键线式:

C. 丙烷分子的球棍模型: D. 乙醇的分子式

3. 下列有机化合物中属于同分异构体的正确组合是(

CH3CH2CH2CH2CH3
CH3CH2CH2CH2CH2CH3




A. ①和③ B. ②③⑤ C. ①和② D. ③和④

4. 可以鉴别乙烷和乙烯气体的试剂是( )

A. B. H2 C. 酸性KMnO4溶液 D. NaOH溶液

5. 下列说法不正确的是( )

A. 石油的分馏是物理变化,而裂化和裂解属于化学变化

B. 煤的干馏是将煤隔绝空气加强热,获取多种化工原料的过程

C. 淀粉和蛋白质都能发生水解反应,且均属于天然高分子化合物

D. CH3CHCH2是乙烯的同系物,是生产聚丙烯塑料()的原料

6. 实验是化学研究的基础。下列对实验现象、结论或分析错误的是( )

A. 实验①中溴水褪色,说明石蜡分解产生烯烃

B. 实验②试管中出现白色沉淀,发生的是蛋白质的盐析过程

C. 实验③试管内现象说明苯分子中不含碳碳双键,且苯密度比水轻

D. 实验④中试管内蓝色沉淀转化成砖红色沉淀,该实验可以用于检验葡萄糖

7. 下列由实验得出的结论正确的是( )

 

实验

结论

A.

将乙烯通入溴的四氯化碳溶液,溶液最终变为无色透明

生成的1,2-二溴乙烷无色、可溶于四氯化碳

B.

乙醇和水都可与金属钠反应产生可燃性气体

乙醇分子中的氢与水分子中的氢具有相同的活性

C.

用乙酸浸泡水壶中的水垢,可将其清除

乙酸的酸性小于碳酸的酸性

D.

甲烷与氯气在光照下反应后的混合气体能使湿润的石蕊试纸变红

生成的氯甲烷具有酸性

8. 我国在CO2催化加氢制取汽油方面取得突破性进展,CO2转化过程示意图如下:

下列说法不正确的是( )

A. 反应①的产物中含有水 B. 反应②中只有碳碳键形成

C. 汽油主要是C5~C11的烃类混合物 D. 图中a的名称是2-甲基丁烷

9. 苹果酸的结构简式为,下列说法正确的是( )

A. 苹果酸中能发生酯化反应的官能团有2种

B. 1 mol苹果酸可与3 mol NaOH发生中和反应

C. 1 mol苹果酸与足量金属Na反应生成1 mol H2

D. HOOC—CH2—CHOHCOOH与苹果酸互为同分异构体

10. 钛(Ti)常被称为未来钢铁,已探明中国钛储量居世界首位。下列关于 4822 Ti 的说法中,不正确的是( )

A. 质子数为22 B. 质量数为70

C. 中子数为26 D. 核外电子数为22

11. 下列关系正确的是( )

A. 碱性:Al(OH)3>Mg(OH)2 B. 与H2O反应的剧烈程度:Na>Mg

C. 酸性:H3PO4>H2SO4 D. 与H2化合的容易程度:S>Cl2

12. 下列关于碱金属元素的说法,不正确的是( )

A. 碱金属单质与氧气反应越来越剧烈

B. Cs与水反应发生爆炸

C. 碱金属元素的氧化物的水化物碱性从上至下逐渐增强

D. Li、Na、K的还原性渐弱

13. 下列实验事实,不能用元素周期律解释的是( )

A. Al(OH)3与NaOH溶液反应,Mg(OH)2不与NaOH溶液反应

B. F2在暗处遇H2爆炸,I2在暗处遇H2几乎不反应

C. 表面积相同的镁条和铝条分别与等量相同的稀HCl反应,镁条反应更剧烈

D. 向Na2S溶液中加入稀HCl,产生臭鸡蛋气味的H2S

14. 从海带中提取碘单质,成熟的工艺流程如下,下列关于海水制碘的说法不正确的是(

干海带海带灰悬浊液滤液碘水I2CCl4溶液I2

A. 在蒸发皿中灼烧干海带,并用玻璃棒搅拌

B. 往含I的滤液中加入稀硫酸和双氧水后,I发生氧化反应

C. 在碘水中加入几滴淀粉溶液,溶液变蓝色

D. 将碘水加入CCl4中,通过萃取、分液得到I2CCl4溶液

15. 四种短周期元素X、Y、Z、W的最外层电子数之和为16,其中X、Y、Z的电子层数相同,W原子的核外电子层数与其他三种不同,X元素的焰色反应呈黄色,Y元素的原子得到2个电子所得到的微粒具有与氩原子相同的电子层结构,Z元素的原子其M层电子数比K层多1个电子。下列推断正确的是( )

A. 原子半径:Y<W

B. 简单离子半径:W>X>Y

C. Z的最高价氧化物对应水化物和某些强酸、强碱均能发生反应

D. Y、W分别和氢元素形成的化合物的水溶液都呈酸性

16. 下列物质中,既含有离子键又含有共价键的是( )

A. CaO B. CH4 C. KOH D. MgCl2

17. 如图是Zn和Cu组成的原电池示意图,某小组做完该实验后,在读书卡片上作了如下记录,其中合理的是( )

实验记录:①导线中电流方向:锌→铜;②铜极上有气泡产生;③锌片变薄

实验结论:④Zn为正极,Cu为负极;⑤铜比锌活泼⑥H向铜片移动

A. ①②③ B. ④⑤⑥ C. ③④⑤ D. ②③⑥

18. 25 ℃和101 kPa的条件下:

化学键

H—H

Cl—Cl

H—Cl

键能/kJ·mol1

436

243

431

对于反应H2g)+Cl2g===2HClg)的能量变化描述正确的是(

A. 断开1 mol H2中的H—H键需要放出436 kJ的能量

B. 生成2 mol HCl中的H—Cl键需要放出431 kJ的能量

C. 由键能数据分析,该反应属于吸热反应

D. 2 mol HClg)的能量比1 mol H2g)和1 mol Cl2g)的总能量低

19. 下列做法利用了温度对化学反应速率的影响的是( )

A. 在淀粉水溶液中加入唾液进行淀粉水解实验

B. 做粉尘爆炸实验中选用很细的面粉

C. 将食物保存在冰箱里

D. 铁与稀盐酸反应太慢时加入较浓的盐酸

20. 一定温度下,在容积为2 L的密闭容器中进行某一反应,容器内MN两种气体的物质的量随时间的变化曲线如图所示。据图可知(


A. 该反应的化学方程式为Ng
2M
g

B. t1t2时间内,vM)= mol·L1·min1

C. t2时,正逆反应速率相等,反应达到平衡状态

D. 平衡时,物质N的转化率为75%

21. 油库中为强化安全管理,设置了空气中汽油含量测量仪,其工作原理如图所示(用强酸性溶液作电解质溶液。下列说法不正确的是(


资料:质子交换膜是仅让H+通过的膜。

A. 石墨电极做正极,发生还原反应

B. Pt电极的电极反应式为:C8H18+16H2O-50e=8CO2↑+50H+

C. H+由质子交换膜右侧向左侧迁移

D. 每消耗1mol O2,电路中通过4 mol电子

 

II卷 非选择题(共58分)

22.(8分)为探究乙醇的性质,某化学课外小组设计了如下实验方案。

方案Ⅰ:在盛有少量无水乙醇的试管中,加入一粒除去煤油的金属钠,在试管口迅速塞上配有尖嘴导管的单孔塞,点燃放出的气体,并把一干燥的小烧杯罩在火焰上,在烧杯壁上出现液滴后,迅速倒转烧杯,向烧杯中加入少量的澄清石灰水,观察有无浑浊产生。

(1)请写出乙醇与钠反应的化学方程式:____________________。

(2)以上实验设计因缺少必要的步骤而存在安全隐患,请你指出所缺少的必要步骤是__。

(3)若向烧杯中加入少量澄清石灰水后发现有浑浊,则燃烧产生CO2的物质最可能是___________(写名称)。

方案Ⅱ:(1)取一根铜丝,把其中一端绕成螺旋状(增大接触面积)。点燃一盏酒精灯,把绕成螺旋状一端的铜丝移到酒精灯外焰上灼烧(如图),观察到的实验现象是______。

(2)把螺旋状铜丝往酒精灯内焰移动,观察到的实验现象是__________,用化学方程式表示该现象产生的原理:______________。

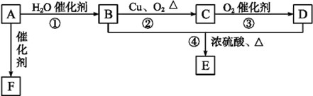
23.(17分)如图所示,已知有机物A的相对分子质量是28,它的产量是衡量一个国家石油化工水平的标志,B和D都是日常生活食品中常见的有机物,E是具有浓郁香味、不易溶于水的油状液体,F是一种高聚物,生活中用于制造食物保鲜膜。

(1)请写出B中官能团的电子式:____,C和D中官能团的名称分别是:____、____;

(2)请写出下列反应的类型:①________,②______,④________。

(3)请写出下列物质转化的化学方程式:

A→F____________;

B→C____________;

B+D→E__________。

Ⅱ. 在实验室可以用如图所示的装置进行B与D的反应,请回答下列问题:

(1)装置中通蒸气的导管要插在______溶液的液面上方,而不能插入溶液中的原因是为了____________,该溶液的作用是____。

(2)若要把制得的乙酸乙酯分离出来,应采用的实验操作是______。

24.(12分)元素周期表与元素周期律在学习、研究和生产实践中有很重要的作用。下表列出了a

h 8种元素在周期表中的位置。

 

ⅠA

ⅡA

ⅢA

ⅣA

ⅤA

ⅥA

ⅦA

0

2

 

 

    

a

 

3

b

c

d

e

  

f

 

4

g

     

h

 

(1)请用电子式表示c与f形成化合物的过程________。

(2)a

h 8种元素中金属性最强的元素,其单质与水反应的化学反应方程式是______;

d的氧化物的水化物溶于氢氧化钠溶液的离子反应方程式是__________。

(3)①a、f、h气态氢化物的化学式相似是因为_____。

②a、f、h三种元素的非金属性有其递变规律。请用原子结构解释其原因:____,得电子能力f大于h。③设计实验通过比较f与h单质的氧化性证明你的结论____。

25.12分)从能量的变化和反应的快慢和限度等角度研究反应具有重要意义。

1)如图能正确表示2H2O2===2H2O的反应中能量变化的是________


2)原电池可将化学能转化为电能。将(1)中反应设计成碱性氢氧燃料电池,其工作原理如图所示,回答下列问题:


①该装置工作过程中,两种主要的能量转化形式为_______________

②该电池负极上的电极反应式为________________________

③当电路中通过0. 2 mol电子时,消耗标准状况下的气体b的体积为 ____L

3201936日,北京大学张亚文、严纯华课题组在常温常压水相电催化合成氨领域获得突破。该水相电催化合成法原理可表示为2N2g)+6H2Ol===4NH3g)+3O2g)。(其中g表示气体,l表示液体)

①在恒容密闭容器中进行该反应,能说明反应已经达到平衡状态的是__________

A. 3vN2)=2vO2

B. 各组分物质的量nN2)∶nH2O)∶nNH3)∶nO2)=2643

C. 容器内气体的压强不再改变

D. 混合气体的密度不再改变

②在恒容密闭容器中进行该反应,能加快反应速率的措施是______

A. 通入N2

B. 通入氦气(He)使容器压强增大

C. 加入更多的液态水

D. 添加催化剂

26.(13分)某酸性工业废水中含有K2Cr2O7(重铬酸钾)。光照下草酸(H2C2O4)能将其中的Cr2O72-转化为Cr3+。某课题组研究发现,少量铁明矾[Al2Fe(SO44·24H2O]即可对该反应起催化作用。为进一步研究有关因素对该反应速率的影响,探究如下:

(1)在25 ℃下,控制光照强度、废水样品初始浓度和催化剂用量相同,调节不同的初始pH和一定浓度草酸溶液用量,做对比实验,完成以下实验设计表(表中不要留空格)。

实验编号

初始pH

废水样品体积/mL

草酸溶液体积/mL

蒸馏水体积/mL

4

60

10

30

5

60

10

30

5

60

_______

_______

测得实验①和②溶液中的Cr2O72-浓度随时间变化关系如图所示。

(2)上述反应中酸性K2Cr2O7(重铬酸钾)溶液与草酸(H2C2O4)反应时,草酸被氧化为________(填化学式)。

(3)实验①和②的结果表明________;实验①中0~t1时间段反应速率v(Cr3+)=___________mol·L-1·min-1(用代数式表示)。

(4)该课题组对铁明矾[Al2Fe(SO44·24H2O]中起催化作用的成分提出如下假设,请你完成假设二和假设三:

假设一:Fe2+起催化作用:

假设二:________;

假设三:________;

……

(5)请你设计实验验证上述假设一,完成下表中内容。

(除了上述实验提供的试剂外,可供选择的药品有K2SO4、FeSO4、K2SO4·Al2(SO43·24H2O、Al2(SO43等。溶液中Cr2O72-的浓度可用仪器测定)

实验方案(不要求写具体操作过程)

________________

预期实验结果和结论
____________

 

 

 

 

参考答案

Ⅰ卷 选择题(共42分)

(共21道小题,每小题只有一个选项符合题意,每小题2分)

题号

1

2

3

4

5

6

7

8

9

10

11

答案

D

A

B

C

D

B

B

C

A

B

B

题号

12

13

14

15

16

17

18

19

20

21

 

答案

D

D

A

D

B

C

C

A

C

C

 

II卷 非选择题(共58分)

22.8分)

方案Ⅰ:

12Na+2CH3CH2OH2CH3CH2ONa+H22分)

(2)点燃放出的气体之前没有检验纯度

(3)乙醇(蒸汽)

方案Ⅱ:

(1)铜丝由红色变黑

(2)铜丝由黑色变成紫红色 CH3CH2OH+CuOCH3CHO+Cu+H2O(2分)

23.(17分)

Ⅰ.(1)·H 羟基 羧基

(2)加成反应 氧化反应 酯化反应(或取代反应)

(3)nCH2CH2(2分)

2CH3CH2OH+O2
2CH3CHO+2H2O (2分)

CH3COOH+CH3CH2OH
+H2O(2分)

Ⅱ.(1)饱和Na2CO3 防止倒吸

降低乙酸乙酯的溶解量、除去粗产品中的乙酸和乙醇(2分)

(2)分液

24.(11分)

(1)

(2)2K+2H2O=2KOH+H2↑ Al(OH)3+OH= [Al(OH)4]

(3)①最外层电子数相同(写位于同一主族也算对)

②最外层电子数Cl与Br相同,电子层数Cl小于Br,原子半径Cl小于Br

③向溴化钠溶液中加入氯水(1分)并与氯水颜色进行比较或答出颜色变化(溶液由无色变成棕黄色)(1分)

25.(11分)

(1)A

2)①化学能电能
电能光能

H22e2OH===2H2O2分)

2. 242分)

(3)①ACD(2分) ②AD(2分)

26.(11分)

(1)20 40(两个体积之和为60,且草酸溶液体积不是10即可)

(2)CO2

(3)其他条件相同时,pH越小,反应速率越快

(4)Al3+起催化作用

SO42-起催化作用

(5)

用等物质的量的K2SO4•Al2SO43•24H2O代替实验①中的铁明矾,控制其他条件与实验①相同,进行对比实验。

反应进行相同时间后,若溶液中cMnO4)大于实验①中的cMnO4)则假设二成立,若两溶液中的cMnO4)相同,则假设二不成立。

 

发表评论