本试卷有三道大题,考试时长120分钟,满分150分。
一、选择题:共10小题,每小题4分,共40分。在每小题列出的四个选项中,选出符合题目要求的一项。
1. 已知集合
,集合
,那么
=
A.
B. {1} C.
D.
2. 已知向量
,则向量
=
A. (5,3) B. (4,4) C. (5,4) D. (4,5)
3. 某工厂生产甲、乙、丙、丁四种不同型号的产品,产量分别为200,400,300,100件,为检验产品的质量,现用分层抽样的方法从以上所有的产品中抽取60件进行检验,则应从甲种型号的产品中抽取的件数为
A. 24 B. 18 C. 15 D. 12
4. 甲、乙两人参加一个面试,通过面试的概率分别为
,且甲、乙两人是否通过互不影响,则两人均未通过面试的概率是
A.
B.
C.
D.
5. 某菜市居民中随机调查了10000位居民,获得了他们某月的用水量数据,整理得到如下频率分布直方图,则可估计该市居民该月用水量在2.5立方米以上的概率是

A. 0.7B. 0.6 C. 0.3 D. 0.15
6. 已知
,则
的大小关系为
A.
B.
C.
D.
7. 函数
的值域是
A.
B.
C.
D.
8. 设
,则”
“是”
“的
A. 充分不必要条件 B. 必要不充分条件
C. 充要条件 D. 既不充分也不必要条件
9. 已知四个函数①
②
③
④
,从中任选2个,事件”所选2个函数的图像至多有1个公共点“的概率是
A.
B.
C.
D.
10. 若函数
满足条件:对任意
,都有
成立,则称
,下列函数中属于
的是
A.
B.
C.
D.
二、填空题:共5小题,每小题5分,共25分。
11. 函数
的定义域为_________________。
12. 计算
=_________________。
13. 已知函数
,若
在R上单调递增,则a的取值范围是________________。
14. 已知函数
满足
,且
在区间
上单调递减,则
可以是_________________________。
15. 已知△ABC,下列命题正确的是______________。
①若点P满足
,则点P为△ABC的外心;
②若点P满足
,则点P在BC边的中线上;
③若点P满足
,则点P在∠BAC的角平分线上。
(本题给出的结论中,有多个符合题目要求,全部选对得5分,不选或错选得0分,其他得3分。)
三、解答题:共6小题,共85分,解答应写出文字说明,演算步骤或证明过程。
16. (本小题13分)
已知向量
。
(Ⅰ)求
;
(Ⅱ)若
,求实数
的值;
(Ⅲ)若
∥
,求实数k的值。
17.(本小题13分)
已知函数
(a为常数,
)。
(Ⅰ)求
;
(Ⅱ)判断
的奇偶性,说明理由;
(Ⅲ)若
,求使
成立的x的取值范围。
18. (本小题14分)
某校为了解高一年级学生对古诗词掌握的情况,举办高一年级古诗词朗诵比赛,对高一年级全体学生进行了两轮测试,并把两轮测试成绩的平均分作为比赛的最终成绩,现随机选取10名学生,成绩记录的数据如下:
1号 | 2号 | 3号 | 4号 | 5号 | 6号 | 7号 | 8号 | 9号 | 10号 | |
第一轮 测试成绩 | 96 | 90 | 89 | 87 | 92 | 89 | 87 | 90 | 92 | 90 |
第二轮 测试成绩 | 90 | 89 | 89 | 89 | 88 | 88 | 96 | 92 | 89 | 92 |
(Ⅰ)从该校高一年级学生中随机选取一名学生,试估计这名学生最终成绩大于等于90分的概率;
(Ⅱ)从上表最终成绩大于等于90分的学生中随机抽取两名学生,求这两名学生两轮测试成绩均大于等于90分的概率;
(Ⅲ)记上表的10名学生第一轮测试成绩的平均数和方差分别为
,
,最终成绩的平均数和方差分别为
,试比较
与
的大小。(只需写出结论)
19. (本小题15分)
设函数
。
(Ⅰ)求方程
的根;
(Ⅱ)若
恒成立,求实数a的取值范围;
(Ⅲ)若方程
恰有两个实根,直接写出实数b的取值范围。
20. (本小题15分)
某电商平台为获取更多的新用户,对所售商品开展砍价活动,即一位消费者将购买商品的链接发给朋友后,每个朋友点击一次该链接就完成了一次砍价,直到链接中显示的剩余价格为0时,该消费者可以免费获得此商品。
设f(x)为砍价x次后商品的剩余价格(单位:元),精确到0.01,在砍价过程中,砍价算法分为三个阶段:
第一阶段为指数砍价阶段,
,其中A为商品的初始价格,当
时,该阶段停止,并进入第二阶段;
第二阶段为波动砍价阶段,此阶段砍价总金额不超过0.5元,可至多进行10个循环,每个循环内砍价3次,每次只能砍0.01元或0.02元,其中可砍0.01元一次、0.02元两次,顺序不定;
第三阶段为线性砍价阶段,每次只能砍价0.01元,直到剩余价格为0元时,结束砍价。
其中,在进行第二或第三阶段砍价时,若受邀用户为新用户,则享有0.3元的砍价特权,此特权不能跨越两个阶段,例如当第二阶段还剩0.15元时,新用户只能砍0.15元;当第三阶段不足0.3元时,直接砍为0元。
己知某商品的初始价格为768元。
(Ⅰ)求经过多少次砍价后可进入第二阶段,并求此时的剩余价格;
(Ⅱ)若进入第二阶段后只邀请新用户砍价,则需要多少个新用户才能完成砍价?
(Ⅲ)若第一阶段结束后,只能邀请一位新用户砍价,其他都邀请老用户,则最少还需要多少个老用户才能完成砍价?
21. (本小题15分)
设A是由m×n个实数组成的m行n列的数表,如果某一行(或某一列)各数之和为负数,则将该行(或该列)中所有数均变为原来的相反数,称为一次”操作”。
(Ⅰ)数表A如表1所示,若经过两次”操作”,使得到的数表每行的各数之和与每列的各数之和均为非负实数,请写出每次”操作”后所得的数表(写出一种方法即可);
1 | 2 | 3 | -7 |
-2 | 1 | 0 | 1 |
表1
(Ⅱ)数表A如表2所示,若必须经过两次”操作”才可使得到的数表每行的各数之和与每列的各数之和均为非负实数,求整数a的所有可能值;
a |
|
|
|
|
|
|
|
表2
(Ⅲ)对由m×n个实数组成的m行n列的任意一个数表A,能否经过有限次”操作”以后,使得到的数表每行的各数之和与每列的各数之和均为非负实数?请说明理由。
【试题答案】
一、选择题:共10小题。每小题4分,共40分。在每小题列出的四个选项中,选出符合题目要求的一项。
1 | 2 | 3 | 4 | 5 | 6 | 7 | 8 | 9 | 10 |
C | A | D | C | C | A | B | A | D | D |
二、填空题:共5小题,每小题5分,共25分。
11.
12. 3 13.
14.
15. ②③
三、解答题:共6小题,共85分,解答应写出文字说明,演算步骤或证明过程。
16. 解:(Ⅰ)
(Ⅱ)由题意得
,
所以
,得
(Ⅲ)

∥

解得
。
17. 解:(Ⅰ)
;
(Ⅱ)由函数
有意义,得
,
所以函数
的定义域为
,关于原点对称。
因为
,
所以函数
为偶函数。
(Ⅲ)由
,得
,解得
;
所以,
,
由于函数
在
上单调增,
所以
,解得
。
18. 解:(Ⅰ)这10名学生的考核成绩(单位:分)分别为:
93,89.5,89,88,90,88.5,91.5,91,90.5,91。
其中大于等于90分的有1号、5号、7号、8号、9号、10号,共6人。
所以样本中学生考核成绩大于等于90分的频率为:
,
从该校高一年级随机选取一名学生,
估计这名学生考核成绩大于等于90分的概率为0.6。
(Ⅱ)设事件A:从上述考核成绩大于等于90分的学生中再随机抽取两名同学,
这两名同学两轮测试成绩均大于等于90分。
由(Ⅰ)知,上述考核成绩大于等于90分的学生共6人,
其中两轮测试成绩均大于等于90分的学生有1号,8号,10号,共3人。
所以,
。
(Ⅲ)
。
19. 解:(Ⅰ)



(Ⅱ)若
在
上恒成立
时,
在R上是增函数。
当
时,

(Ⅲ)
20. 解:(Ⅰ)由题意得
,
两侧以2为底取对数
,即
,
即经过10次砍价进入第二阶段,
此时的价格为0.75元。
(Ⅱ)第二阶段一共有0.5元的价格区间,如用新用户则需要两个新用户砍完。
(i)此时进入第二阶段的价格为0.75元,
则第二阶段结束后还剩下0.25元,只需一个新用户即可,
故共需要3位新用户。
(ii)若此新用户处于第二阶段,其最多可以相当于18个老用户;
若此新用户处于第三阶段,则其最多相当于25个新用户。
因此要追求使用老用户最少,则新用户必须在第三阶段第一个入场,
此时需要老用户填满第二阶段共10×3=30个。
21. (Ⅰ)解法1:

法2:

法3:

(Ⅱ)每一列所有数之和分别为2,0,-2,0,每一行所有数之和分别为-1,1;
①如果首先操作第三列,则
a |
| a |
|
|
|
|
|
则第一行之和为2a-1,第二行之和为5-2a,
这两个数中,必须有一个为负数,另外一个为非负数,
所以
当
时,则接下来只能操作第一行,
-a |
| -a |
|
|
|
|
|
此时每列之和分别为:
必有
,解得
当
时,则接下来操作第二行
a |
| a | - |
|
|
| - |
此时第4列和为负,不符合题意。
②如果首先操作第一行
-a |
| a |
|
|
|
|
|
则每一列之和分别为
当a=1时,每列各数之和已经非负,不需要进行第二次操作,舍掉
当
时,
至少有一个为负数,
所以此时必须有
,即
,所以
或
经检验,
或
符合要求
综上:
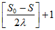
(Ⅲ)能经过有限次操作以后,使得得到的数表所有的行和与所有的列和均为非负实数。证明如下:
记数表中第i行第j列的实数为
,各行的数字之和分别为
,各列的数字之和分别为
,
,数表中
个实数之和为S,则
,记





。
按要求操作一次时,使该行的行和(或该列的列和)由负变正,都会引起A(和B)增大,从而也就使得S增加,增加的数值大于等于2λ,但是每次操作都只是改变数表中某行(或某列)各数的符号,而不改变其绝对值,故S必然不超过最初的数表中m×n个实数的绝对值之和
,于是操作次数N必须满足
,故最多不超过
次操作。






























