本试卷考试时长60分钟,满分100分。
一、选择题:本大题共8小题,每小题5分,共40分。
1. 双曲线
–
=1的实轴长是( )
A. 8 B. 10 C. 6 D. 41
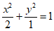
2. 已知椭圆
+
=1焦距是( )
A. 8 B. 10 C. 6 D. 5
3. 双曲线
–
=1的渐近线方程为( )
A. y=±2 x B. y=±
x C. y=±3x D. y=±x
4. 实轴长为2,虚轴长为4的双曲线的标准方程是( )
A.
B.
C.
,或
D.
,或
5. 已知抛物线C:y2=12x,则它的焦点坐标是( )
A. (4,0) B. (3,0) C. (6,0) D. (0,4)
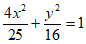
6.
的长轴长是( )
A. 4 B. 5 C. 8 D. 2.5
7. 已知抛物线y2=4x与直线x-y=a有一个交点,则a的值是( )
A. 2 B. -2 C. -1 D. 1
8. 抛物线y2=-4x的准线方程是( )
A. x=1 B. x=2 C. y=1 D. y=2
二、填空题:本大题共4小题,每小题5分,共20分。
9. 一个焦点坐标是(5,0),且过点A(-3,0)的双曲线标准方程为________。
10. 已知抛物线的准线为x=-1,则其标准方程为________。
11. 抛物线y=x2的准线方程为________。
12. 已知双曲线
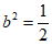
(b>0)的一个焦点是(2,0),则其渐近线的方程为________。
三、解答题:共3道大题,共40分,请写出解题步骤。
13. 设中心在原点的椭圆与双曲线2x2-2y2=1有相同的焦点,且它们的离心率互为倒数,求该椭圆的方程
14. 已知椭圆
(1)写出焦距,离心率
(2)与直线4x-5y+20=0的交点坐标。
15. 已知双曲线
,过它的右焦点做倾斜角为30°的直线交双曲线于AB两点,求|AB|的值。
参考答案
一、选择题:本大题共8小题,每小题5分,共40分。
1 | 2 | 3 | 4 | 5 | 6 | 7 | 8 |
B | C | A | D | B | C | C | A |
二、填空题:本大题共4小题,每小题5分,共20分。
9.
10.
11.
12.

三、解答题:共3道大题,共40分,请写出解题步骤。
13. 
∴

∴
∴
∴椭圆的
∴

14.(1)


∴


(2)
∴交点坐标(-5,0)(0,4)
15. ∵


∴
:(3,0)
∴
方程:
∴
交于A、B两点
解得:A:(-3,-
) B:
∴

