北京市西城区2020-2021学年下学期高一年级期末考试数学试卷

北京市西城区20202021学年下学期高一年级期末考试数学试卷

本试卷共150分。考试时长120分钟。

 

第一部分(选择题
40分)

一、选择题:共10小题,每小题4分,共40分。在每小题列出的四个选项中,选出符合题目要求的一项。

1. 设向量,则

A. 11            B. 9                C. 7                D. 5

2. sin330°=

A.             B.             C.             D.

3. 在复平面内,复数z对应的点Z如图所示,则复数


A.             B.             C.         D.

4. 某圆锥的母线长为5cm,底面半径长为3cm,则该圆锥的体积为

A.         B.         C.         D.

5. 函数的最小正周期是

A.             B.             C.             D.

6. ,则符合条件的角

A. 1            B. 2            C. 3            D. 4

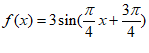
7. 函数(其中)的图象的一部分如图所示,则此函数的解析式是


A.             B.

C.             D.

8. 向量的夹角为

A. 30°            B. 40°            C. 60°            D. 90°

9. 在△ABC中,角所对的边分别为,则”“是”“的

A. 充分而不必要条件             B. 必要而不充分条件

C. 充分必要条件                 D. 既不充分也不必要条件

10. 已知单位向量满足,若非零向量,其中,则的最大值为

A.             B.             C.             D.

 

第二部分(非选择题
110分)

二、填空题:共5小题,每小题5分,共25分。

11. 设复数,则_________

12. 已知半径为r的球的表面积为36πcm2,那么半径为2r的球的表面积为__________cm2

13. 在锐角△ABC中,角ABC所对的边分别为abc。若,则A_________

14. 已知向量满足,那么__________

15. 设函数,有以下四个结论:

①函数是周期函数;

②函数的图象是轴对称图形;

③函数的图象关于坐标原点对称;

④函数存在最大值。

其中,所有正确结论的序号是____________

 

三、解答题:共6小题,共85分。解答应写出文字说明,演算步骤或证明过程。

16. (本小题13分)

已知

(Ⅰ)求的值;

(Ⅱ)求的值。

17. (本小题14分)

如图,在四棱柱中,⊥平面ABCD,AD∥BC,∠BAD=90°,AC⊥BD,且


(Ⅰ)求三棱锥的体积;

(Ⅱ)求证:BC∥平面

(Ⅲ)求证:

18. (本小题13分)

在△ABC中,

(Ⅰ)求△ABC的面积;

(Ⅱ)求的值。

19. (本小题15分)

已知函数同时满足下列三个条件中的二个:

        ②最大值为2
③最小正周期为π

(Ⅰ)求出所有可能的函数fx),并说明理由;

(Ⅱ)从符合题意的函数中选择一个,求其单调增区间。

20. (本小题15分)

如图,在正方体中,E的中点,O的中点。


(Ⅰ)求证:平面⊥平面

(Ⅱ)求证:EO⊥平面

(Ⅲ)设P为正方体棱上一点,给出满足条件的点P的个数。(结论不要求证明)

21. (本小题15分)

设函数的定义域为R,若存在常数T,使得对于任意成立,则称函数具有性质P

(Ⅰ)判断函数具有性质P?(结论不要求证明)

(Ⅱ)若函数具有性质P,且其对应的。已知当时,,求函数在区间上的最大值;

(Ⅲ)若函数gx)具有性质P,且直线xm为其图像的一条对称轴,证明:gx)为周期函数。

 

 

 

【试题答案】

一、选择题:本大题共10小题,每小题4分,共40分。

1. D 2. B 3. B 4. A 5. A

6. C 7. C 8. B 9. C 10. D

 

二、填空题:本大题共5小题,每小题5分,共25分。

11.             12.         13.             14.         15. ②④

注:第15题全部选对得5分,不选或有错选得0分,其他得3分。

 

三、解答题:本大题共6小题,共85分。其他正确解答过程,请参照评分标准给分。

16. (本小题13分)

解:(Ⅰ)由            3

解得                                        5

(Ⅱ)由(Ⅰ),得,①                6

又因为                            8

联立①②,解得
        11

所以                        13

17. (本小题14分)

(Ⅰ)解:因为在四棱柱中,BB1⊥平面,∠BAD90°,

所以三棱锥的体积    3

(Ⅱ)证明:因为ADBC平面平面

所以BC∥平面                        6


(Ⅲ)证明:因为⊥平面ABCD,AC平面ABCD,

所以BB1⊥AC。                8分

又因为AC⊥BD,

所以AC⊥平面,                            11分

又因为平面

所以AC⊥。                                    14分

18. (本小题13分)

解:(Ⅰ)由余弦定理        3


(舍)或                5

,得        7

所以△ABC的面积    9

(Ⅱ)由余弦定理,得                    11

所以                                13

19. (本小题15分)

解:(Ⅰ)        3

若函数满足条件①②:

由条件①:,得,即

所以当时,有最大值3

这与②矛盾。即函数fx)不能同时满足条件①②。                 5

若函数fx)满足条件①③:

由条件①,得m1

由条件③,得,解得

所以此时            7

若函数fx)满足条件②③:

又因为

所以当时,的最大值

解得

由条件③,得,解得

所以                    9

综上,

(Ⅱ)不妨选择函数

            11

                            13

所以函数fx)的单调增区间为    15

(注:单调区间写成开区间亦可。)

20. (本小题15分)

(Ⅰ)证明:在正方体中,

因为⊥平面平面

所以平面⊥平面。                4分

(Ⅱ)证明:连接AC,设,连接OG,


因为为正方体,

所以AE∥,且,且G是BD的中点,

又因为O是的中点,

所以,且

所以OG∥AE,且

即四边形AGOE是平行四边形,

所以EO∥AG。                                6分

由正方体,得⊥平面ABCD,AG⊥BD,

所以⊥AG,

又因为

所以AG⊥平面,                        9分

所以EO⊥平面。                        11分

(Ⅲ)解:满足条件的点P12个。    15

21. (本小题15分)

解:(Ⅰ)函数不具有性质P;函数具有性质P    3

(Ⅱ)设,则                        4

由题意,得

所以                                6

,得

所以当时,                    7

故当在区间上有最大值    9

(Ⅲ)当时,结论显然成立;        10

以下考虑不恒等于0的情况,即,使得

由直线为函数图象的一条对称轴,得    12

由题意,,使得成立,

所以,即

由直线为函数图象的一条对称轴,得

又因为

所以,即

故对于任意成立,其中

综上,为周期函数。                                15


 

发表评论