总分:100分时间:90分钟
第一部分
一、选择题(本部分共14小题,每题3分,共42分。在每题列出的四个选项中,选出最符合题目要求的一项。请将各小题选项填涂在答题卡相应位置。)
1.物理学重视逻辑,崇尚理性,其理论总是建立在对事实观察的基础上,下列说法正确的是
A.电子的发现使人们认识到原子具有核式结构
B.天然放射现象说明原子核内部是有结构的
C.α粒子散射实验的重要发现是电荷是量子化的
D.密立根油滴实验表明核外电子的轨道是不连续的
2.用a、b两种不同的单色光分别经同一单缝衍射装置得到的衍射图样如图甲、乙所示。现使a光从水中斜射向水面上的O点,测得其入射角为i、折射角为r,如图丙所示。对于这两种单色光,下列说法正确的是

A.在真空中a光的波长较短
B.在水中a光的传播速度较大
C.水对a光的折射率
D.a光从水中射向空气发生全反射时的临界角较小
3.如图所示,一定量的理想气体由状态A经过过程①到达状态B,再由状态B经过过程②到达状态C,其中过程①图线与横轴平行,过程②图线与纵轴平行。对于这个变化过程,下列说法中正确的是

A.从状态A到状态B的过程,气体放出热量
B.从状态A到状态B的过程,气体分子热运动的平均动能在减小
C.从状态B到状态C的过程,气体内能保持不变
D.从状态B到状态C的过程,气体吸收热量
4.如图所示,上下开口、内壁光滑的铜管P和塑料管Q竖直放置,小磁块先后在两管中从相同高度处由静止释放,并落至底部,则小磁块

A.在P和Q中都做自由落体运动
B.在两个下落过程中的机械能都守恒
C.在P中的下落时间比在Q中的长
D.落至底部时在P中的速度比在Q中的大
5.关于下列实验现象的说法,正确的是

A.图甲说明薄板一定是晶体
B.图乙说明气体速率分布随温度变化,且
C.图丙说明气体压强的大小既与分子动能有关,也与分子的密集程度有关
D.图丁说明水黾受到了浮力作用
6.某同学用如图所示的实验装置验证”力的平行四边形定则”。将弹簧测力计A挂于固定点P,下端用细线悬挂一重物M。弹簧测力计B的挂钩处系一细线,把细线的另一端系在弹簧测力计A下端细线上的O点处,手持弹簧测力计B水平向左拉,使O点缓慢地向左移动,且总保持弹簧测力计B的拉力方向不变。不计弹簧测力计所受的重力,两弹簧测力计的拉力均不超出它们的量程,则弹簧测力计A、B的示数
的变化情况是

A.
变大,
变大 B.
变小,
变大
C.
变大,
变小 D.
变小,
变小
7.如图所示,在光滑的水平地面上有两个质量相等的物体,中间用劲度系数为k的轻质弹簧相连,在外力
的作用下运动。已知
,当运动达到稳定时,弹簧的伸长量为

A.
B.
C.
D.
8.如图所示为远距离输电示意图,两变压器均为理想变压器,升压变压器T的原副线圈匝数分别为
,在
的原线圈两端接入一电压
的交流电源,若输送电功率为
,输电线的总电阻为
,不考虑其他因素的影响,则输电线上的损失电功率为

A.
B.
C.
D.
9.一汽车在平直公路上行驶。从某时刻开始计时,发动机的功率P随时间t的变化如图所示。假定汽车所受阻力的大小f恒定不变。下列描述该汽车的速度v随时间t变化的图像中,可能正确的是


10.可以用如图所示的装置来探究”影响电荷间相互作用力的因素”。O是一个带电量为+Q的物体,把系在丝线上的带电量为+q的小球先后挂在横杆上的
等位置,比较小球在不同位置所受带电体的作用力的大小,这个力的大小F可以通过丝线偏离竖直方向的角度θ显示出来。若物体与小球间距离用d表示,以下对该实验出现的现象的判断和解释正确的是

A.保持Q、q不变,增大d,则θ变大,说明F与d的平方成正比
B.保持Q、q不变,增大d,则θ变小,说明F与d的平方成反比
C.保持Q、d不变,减小q,则θ变小,说明F与q成正比
D.保持Q、d不变,减小q,则θ变小,说明F与q有关
11.如图所示,边长为L的单匝均匀金属线框置于光滑水平桌面上,在拉力作用下以恒定速度通过宽度为D、方向竖直向下的有界匀强磁场,线框的边长L小于有界磁场的宽度D。在整个过程中线框的ab边始终与磁场的边界平行,若以F表示拉力、以
表示线框ab两点间的电势差、I表示通过线框的电流(规定逆时针为正,顺时针为负)、P表示拉力的功率,则下列反映这些物理量随时间变化的图象中正确的是

12.2019年6月17日,四川省长宁县发生地震,成都提前61秒收到预警,成都高新减灾研究所通过社区喇叭、手机短信、电视等途径向社区居民发布预警信息,如图所示是电视中正在播放的体育频道插播了从61秒到45秒倒计时时刻的画面。已知:地震发生时主要发出纵波和横波,纵波振动方向与波传播方向一致,而横波振动方向与波传播方向垂直,纵波传播速度约为8km/s,横波传播速度约为4km/s,一般来说纵波的振幅比横波小。根据以上信息,下列说法正确的是

A.一般来说,纵波造成的危害比横波大
B.在震源中心地区的人们先感受到上下震动过一小会儿再感受到水平晃动
C.根据以上信息可以推断长宁县距离成都市不足200km
D.该新闻说明人类已经掌握了在地震发生前提前”预测地震”技术了
13.一般的曲线运动可以分成很多小段,每小段都可以看成圆周运动的一部分,即把整条曲线用一系列不同半径的小圆弧来代替。如图甲所示,曲线上的A点的曲率圆定义为:通过A点和曲线上紧邻A点两侧的两点作一圆,在极限情况下,这个圆就叫做A点的曲率圆,其半径ρ叫做A点的曲率半径。将圆周运动的半径换成曲率半径后,质点在曲线上某点的向心加速度可根据圆周运动的向心加速度表达式求出,向心加速度方向沿曲率圆的半径方向。已知重力加速度为g。现将一物体沿与水平面成α角的方向以速度
抛出,如图乙所示,则在其抛出点P处的曲率半径是

A.
B.
C.
D.
14.2019年2月5日,”流浪地球”在中国大陆上映,赢得了票房和口碑双丰收。影片讲述的是面对太阳快速老化膨胀的灾难,人类制定了”流浪地球”计划,这首先需要使自转角速度为ω的地球停止自转,再将地球推移出太阳系到达距离太阳最近的恒星(比邻星)。为了使地球停止自转,设想的方案就是在地球赤道上均匀地安装N台”喷气”发动机,如图所示(N较大,图中只画出了4个)。假设每台发动机均能沿赤道的切线方向提供大小恒为F的推力,该推力可阻碍地球的自转。已知地球转动的动力学方程与描述质点运动的牛顿第二定律方程F=ma具有相似性,为M=Iβ,其中M为外力的总力矩,即外力与对应力臂乘积的总和,其值为NFR;I为地球相对地轴的转动惯量;β为单位时间内地球的角速度的改变量。将地球看成质量分布均匀的球体,下列说法中正确的是

A.在M=Iβ与F=ma的类比中,与转动惯量I对应的物理量是m,其物理意义是反映改变地球绕地轴转动情况的难易程度
B.地球自转刹车过程中,赤道表面附近的重力加速度逐渐变小
C.停止自转后,赤道附近比极地附近的重力加速度大
D.这些行星发动机同时开始工作,且产生的推动力大小恒为F,使地球停止自转所需要的时间为
第二部分
二、实验题(本部分共2小题,共18分。)
15.(6分)在做”用双缝干涉测量光的波长”实验时,某同学调整手轮后,从测量头的目镜看去,当分划板中心刻度线对齐A条纹中心时(如图1所示),游标卡尺的示数如图2所示,其示数为1.14cm;接着转动手轮,当分划板中心刻度线对齐B条纹中心时(如图3所示),游标卡尺的示数如图4所示。已知双缝间距为0.05cm,从双缝到屏的距离为1m。
(1)图4 游标卡尺的示数为__
cm;
(2)实验时测量多条干涉条纹宽度的目的是______,所测光的波长为____m 。(保留两位有效数字)

16.(12分)同学们用如图 1所示的电路测量两节干电池串联而成的电池组的电动势 E 和内电阻 r。实验室 提供的器材如下:电压表,电阻箱(阻值范围 0~999.9);开关、导线若干。
(1)请根据图1 所示的电路图,在图 2 中用笔替代导线,画出连线,把器材连接起来。

(2)某同学开始做实验,先把变阻箱阻值调到最大,再接通开关,然后改变电阻箱,随之电压表示数发生 变化,读取R 和对应的U,并将相应的数据转化为坐标点描绘在R-R/U 图中。请将图3、图4 中电阻箱和电压表 所示的数据转化为坐标点描绘在图 5 所示的坐标系中(描点用”+“表示),并画出R-R/U 图线;
(3)根据图 5 中实验数据描绘出的图线可以得出该电池组电动势的测量值 E=__
V,内电阻的测量 值 r =__
Ω。(保留2 位有效数字)
(4)实验中测两组R、U的数据,可以利用闭合电路欧姆定律解方程组求电动势和内电阻的方法。该同学没有采用该方法的主要原因是__________________。
(5)该实验测得电源的电动势和内阻都存在误差,造成该误差主要原因是______________。
(6)不同小组的同学分别用不同的电池组(均由同一规格的两节干电池串联而成)完成了上述的实验后,发现不同组的电池组的电动势基本相同,只是内电阻差异较大。同学们选择了内电阻差异较大的甲、乙两个电池组进一步探究,对电池组的内电阻热功率
以及总功率
分别随路端电压U变化的关系进行了猜想,并分别画出了如图6所示的
和
图象。若已知乙电池组的内电阻较大,则下列各图中可能正确的是
(选填选项的字母)。

三、计算题(本部分共4小题,共40分。)
17.(9分)如图所示,长为2R的水平固定绝缘轨道AB与半径为R的竖直半圆形固定绝缘轨道BCD相切于B点,整个空间存在沿水平方向的匀强电场。今将质量为m的带正电物块(可视为质点)从水平轨道的A端由静止释放,滑块在电场力的作用下沿轨道运动并通过D点。已知电场力的大小是物块所受重力的2倍,空气阻力及轨道的摩擦均可忽略不计,重力加速度为g。求:
(1)滑块从A端运动到B端电场力的冲量大小I;
(2)滑块通过圆形轨道B点时对轨道压力大小
;
(3)请比较滑块在B、D两点机械能的大小,并简要说明理由。

18.(9分)对于不同类型的实物粒子,测量速率的方法往往是不同的,当然测量速率的方法也受到历史的局限性和实验室提供的仪器的限制。
(1)历史上,由于测量条件的限制,伽利略无法用直接测量运动速率的方法来寻找自由落体的运动规律。因此他设想用斜面来”冲淡”重力,”放慢”运动,而且把速率的测量转化为对路程和时间的测量,如图甲所示。实验中记录了小球沿光滑斜面在不同时间内相对于起始点的距离,如下表所示。则分析表中数据可知,小球在t=3T时刻的瞬时速度等于多少?(用已知量T、d表示)

时间 | 0 | T | 2T | 3T | 4T | 5T | 6T |
距离 | 0 | d | 4d | 9d | 16d | 25d | 36d |
(2)带电粒子的速度有时可以利用速度选择器进行测量。如图乙所示,真空环境中平行放置的金属板间距为d,两板间有垂直纸面向外、磁感应强度大小为B的匀强磁场,带电粒子以某一速度从两金属板的左侧中间沿平行于金属板面的方向射入两板间,当板间电压为U时,带电粒子恰好沿直线(图中虚线)穿越两板,不计带电粒子的重力,求它的速度大小?

(3)由于中子不带电,因此中子的速度无法直接使用速度选择器进行测量,可以采用碰撞的方法进行间接测量。假设一质量为m的低速中子与质量为M的静止原子核发生弹性正碰,利用速度选择器测量得出原子核的速度大小为v,求这个中子的速度大小?
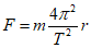
19.(10分)1665年,就读于剑桥大学的牛顿回到乡下躲避鼠疫,他利用这个宁静的时间思考了”是什么力量使得行星围绕太阳运转,苹果为什么会落到地上而不是天上”等问题,在此基础上他提出了万有引力定律,为经典力学体系的建立打下了坚实的基础。
(1)将行星绕太阳的运动简化成匀速圆周运动,应用牛顿运动定律和开普勒第三定律(
,其中r为行星中心到太阳中心间的距离,T为行星运动的周期,k为常数)等,推导行星和太阳之间的引力满足
,其中m为行星的质量,M为太阳的质量,G是比例常数。
(2)上面(1)的推导是源于开普勒行星运动定律,因此它只适用于行星与太阳之间的力,牛顿在此基础上又向前走了一大步,提出了任何两个质点之间都存在引力,且都满足(1)中的表达式。在牛顿时代已经能比较精确地测定:月球轨道半径r、月球公转周期T、地球半径R、地球表面的重力加速度g。若维持月球绕地球运动的力与使得苹果下落的力真是同一种力,请求出上述4个量应满足的关系。
(3)2019年4月10日人类公布了拍摄到的首张黑洞的照片。黑洞密度极大,质量极大,半径很小,以最快速度传播的光(光在真空中的速度大小为c)都不能逃离它的引力,因此我们无法通过光学观测直接确定黑洞的存在。严格解决黑洞问题需要利用广义相对论的知识,但早在相对论提出之前就有人利用经典力学体系预言过黑洞的存在。我们知道,在经典力学体系中,当两个质量分别为m1、m2的质点相距为r时也会具有势能,称之为引力势能,其大小为
(规定无穷远处势能为零)。假定黑洞为一个质量分布均匀的球形天体,请你利用以上信息,推测质量为M′的黑洞,之所以能够成为”黑”洞,其半径R最大不能超过多少?
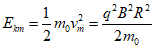
20.(12分)回旋加速器的示意图如图所示。它由两个铝制D型金属扁盒组成,两个D形盒正中间开有一条狭缝;两个D型盒处在匀强磁场中并接在高频交变电源上。在D1盒中心A处有粒子源,它产生并发出带电粒子,经狭缝电压加速后,进入D2盒中。在磁场力的作用下运动半个圆周后,垂直通过狭缝,再经狭缝电压加速;为保证粒子每次经过狭缝都被加速,设法使交变电压的周期与粒子在狭缝及磁场中运动的周期一致。如此周而复始,速度越来越大,运动半径也越来越大,最后到达D型盒的边缘,以最大速度被导出。已知某粒子所带电荷量为q,静止时质量为m0,加速时电极间电压大小恒为U,磁场的磁感应强度为B,D型盒的半径为R,设狭缝很窄,粒子通过狭缝的时间可以忽略不计。设该粒子从粒子源发出时的初速度为零,不计粒子重力和粒子间的相互作用力。

(1)忽略相对论效应,求:
①交变电压的周期T;
②粒子被加速后获得的最大动能
。
(2)人们使用早期制造的回旋加速器加速带电粒子时发现,粒子能量达到25~30Mev后,就很难再加速了。
原因是:按照狭义相对论,粒子的质量m随着速度v的增加而増大(具体关系为
,c为真空中的光速),质量的变化会导致其回转周期的变化,从而破坏了交变电压的周期与粒子在磁场中运动周期的一致性
(若将
换成
后,粒子在磁场中运动的周期公式仍然成立)。已知:在高速运动中,动能定理仍然成立,只不过物体的动能表达式需要修改为
。考虑相对论效应后,适当调整交变电压的周期,可以使粒子获得更大的动能。
①求粒子第n次通过狭缝时,交变电压的周期
;(注:结果用
和π表示)
②若交变电压的最终周期为
,求粒子被加速后获得的最大动能
。(注:结果用
和π表示)
【试题答案】
一、选择题(42分)
1.B 2.B 3.C 4.C 5.C 6.A 7.C
8.C 9.A 10.D 11.D 12.B 13.A 14.A
二、实验题(18分)
15.(6分)
(1)1.67cm(2分);(2)减小测量的绝对误差(或提高测量的精确度)(2分);
(2分)
16.(12分)
(1)如图1所示(2分)
(2)描点和画线如图2所示(2分)

(3)3.0V(2.9~3.1V)(1分)1.4Ω(1.2~1.6Ω)(1分)
(4)若某个数据产生的误差较大,解方程组得到的结果准确性不一定高,测量多组实验,并采用图像处理数据,可以较好的避免个别数据误差较大产生的影响。(2分)
(5)由于电压表分流,流过电源的电流大于流过R的电流。(2分)(6)AC(2分)
三、计算题
17.(9分)
(1)
(4分);
(2)
(注意需要有牛顿第三定律)(3分);
(3)相等;只有重力做功、BD在同一个等势面或BD与电场线垂直等都给分(2分)。
18.(9分)
(1)
(3分)
(2)
(3分)
(3)由能量守恒得
(1分)
以上两式联立解得
(1分)
19.(10分)
(1)太阳对行星的引力F提供行星做圆周运动的向心力,根据牛顿第二定律,行星做圆周运动的向心力大小为
(1分)
根据开普勒第三定律得
其中k为常数,联立以上2式得
(1分)
由此可见,太阳对行星的引力与行星的质量m成正比、与太阳和行星间距离
成反比,则行星对太阳的引力F′必定与太阳的质量M成正比、与太阳和行星间距离
成反比,即
根据牛顿第三定律,有
考虑以上各式得行星和太阳之间的引力满足
(1分)
写成等式为
,其中G是比例常数。注:没有必要的文字说明酌情扣1~2分
(2)若维持月球绕地球运动的力与使得苹果下落的力真是同一种力,即都遵守距离平方反比规律,则
(1分)
又因为
(1分)
联立以上各式,得
(1分)
(3)设质量为m的物体,从黑洞表面至无穷远处
根据能量守恒定律
(1分)
解得
(1分)
因为连光都不能逃离,有v=c所以黑洞的半径最大不能超过
(1分)
20.(12分)
(1)忽略相对论效应
①设交变电压的周期为T,为保证粒子每次经过狭缝都被加速,带电粒子在磁场中运动一周的时间应等于交变电压的周期(在狭缝的时间极短忽略不计),则
(1分)
考虑到
(1分)
联立以上两式,解得
(1分)
②粒子在D形盒内做圆周运动,轨道半径达到最大时被引出,具有最大动能。设此时的速度为v,有
(1分)
解得
(1分)
则粒子的最大动能为
,则
(1分)
(2)考虑相对论效应
①根据动能定理有
(1分)
考虑到
(1分)
联立以上两式得
(1分)
②根据题意有
(1分)
又因为
(1分)
联立以上2式得
(1分)