北京师大附中2020-2021学年下学期高二年级期末考试物理试卷
本试卷有四道大题。考试时长90分钟,满分100分。
第I卷
选择题(共48分)
一、单项选择题,本大题共10小题,共30分。
1. 下列叙述中,符合历史事实的有
A. 普朗克研究黑体辐射时提出能量子概念
B. 玻尔发现了电子从而使人们认识到原子具有复杂结构
C. 卢瑟福根据α粒子散射实验解释了氢原子光谱的形成原因
D. 汤姆孙从理论上证实了电磁波的存在
2. 下列说法正确的是
A. 布朗运动是悬浮在液体中的固体微粒的分子做无规则运动的反映
B. 热机可以把燃料的内能全部转化为机械能
C. 知道某物质的摩尔质量和密度可求出阿伏加德罗常数
D. 物体温度升高时,分子热运动的平均动能增加
3. 对下列现象解释正确的是

A. 图甲的原理是光的全反射
B. 图乙的原理是光的干涉
C. 图丙的原理是薄膜干涉
D. 图丁的原理是光的衍射
4. 玻璃杯从同样的高度落到坚硬的地面或柔软的地毯时,落在地面上会破碎,落在地毯上不会破碎。在解释其原因时,下列说法正确的是
A. 在与地面的相互作用中,玻璃杯的动量变化量大
B. 在与地毯的相互作用中,玻璃杯的动量变化量小
C. 地面与杯子的作用时间较短,作用力会大些
D. 地毯与杯子的作用时间较短,作用力会小些
5. 一列简谐横波某时刻的波形如图所示,P为介质中的一个质点,波沿x轴的正方向传播。下列说法正确的是

A. 质点P此时刻的速度沿y轴的负方向
B. 质点P此时刻的加速度沿y轴的正方向
C. 经过一个周期,质点P通过的路程为2a
D. 再过半个周期时,质点P的位移为负值
6. 某种放射性元素的半衰期为4天,现在取这种元素2kg,经过12天后,发生衰变的元素质量为
A. 1.75kg B. 1.5kg C. 0.5kg D. 1.0kg
7. 如图,甲分子固定在坐标原点O,乙分子位于x轴上,甲分子对乙分子的作用力与两分子间距离的关系如图中曲线所示。F>0为斥力,F<0为引力。a、b、c、d为x轴上四个特定的位置。现把乙分子从a处由静止释放,则

A. 乙分子从a运动到c,分子间作用力一直增大
B. 乙分子从a运动到d,分子间作用力先增大后减小
C. 乙分子从a运动到d,两分子间的分子势能先减小后增大
D. 乙分子从a运动到d,在b点时两分子间的分子势能最小
8. 用一定质量的密闭空气进行实验,将这些空气等温压缩,空气可视为理想气体,则下列图像能正确表示该过程中空气的压强p和体积V的关系的是

9. 在光电效应实验中,用同一光电管在不同实验条件下得到了甲、乙、丙三条光电流与电压之间的关系曲线。下列判断正确的是

A. 甲光的频率大于乙光的频率
B. 丙光的波长大于乙光的波长
C. 乙光的强度低于甲光的强度
D. 甲光对应的光电子最大初动能大于丙光对应的光电子最大初动能
10. 在一个反应堆中用石墨做慢化剂使快中子减速。碳核的质量是中子的12倍,假设中子与碳核的每次碰撞都是弹性正碰,而且认为碰撞前碳核都是静止的。设碰撞前中子的速度是v,中子经过2次与碳核的碰撞后,其速度变为
A. 0.54v B. 0.72v C. 0.31v D. 0.84v
二、多选题,本大题共6小题,共18分。
11. 关于光的本性,下列说法中正确的是
A. 康普顿效应反映光的粒子性
B. 光子的能量由光的强度所决定
C. 光的干涉、衍射现象证明光具有波动性
D. 光具有波粒二象性
12. 下列表述正确的有
A. 31H+21H→42He+10n是核聚变反应
B. 23490Th→23491Pa+0-1e是β衰变
C. 23592U+10n→14456Ba+8936Kr+310n是核裂变反应
D. 23592U+10n→14054Xe+9438Sr+210n是α衰变
13. 如图,在竖直放置的圆柱形容器内用活塞密封一部分气体,活塞能无摩擦地滑动,将整个装置放在大气压强恒定的空气中。当气体从外界吸收热量后,活塞缓慢上升一段距离后再次平衡。密封的气体可视作理想气体,下列关于这部分密封气体的说法中正确的是

A. 内能一定增加
B. 温度一定升高
C. 内能可能减少
D. 压强可能增加
14. 已知可见光光子能量范围为1.62eV~3.11eV,氢原子能级图如图所示。下列说法正确的是

A. 氢原子从高能级向低能级跃迁时可能会辐射出γ射线
B. 氢原子从n=4的能级向n=2的能级跃迁时会辐射出可见光
C. 处于n=2能级的氢原子可以吸收某一频率的红外线而跃迁到高能级
D. 大量处于n=4能级的氢原子向低能级跃迁时,可能发出6种不同频率的光
15. 有两组同学利用假期分别在A、B两地的物理实验室做“探究单摆周期T和摆长L的关系“的实验。根据他们两组的测量数据绘制的T2–l图像如图甲所示。另外,在A地做研究的同学还绘制了a、b两个单摆摆球的振动图像,如图乙所示。下列说法正确的是

A. 由图甲可知A地的重力加速度大于B地的重力加速度
B. 由图甲可知A地的重力加速度小于B地的重力加速度
C. 由图乙可知a、b两摆球振动周期之比为3:5
D. 由图乙可知a、b两单摆摆长之比为4:9
16. 图甲为一列简谐横波在t=0.10s时刻的波形图,P是平衡位置为x=1m处的质点,Q是平衡位置为x=4m处的质点,图乙为质点Q的振动图像。则下列说法正确的是

A. t=0.20s时,质点Q的速度达到正向最大
B. t=0.15s时,质点P的加速度方向沿y轴负方向
C. 从t=0.10s到t=0.25s,该波沿x轴正方向传播了6m
D. 从t=0.10s到t=0.25s,质点P通过的路程为30cm
第Ⅱ卷
非选择题(共52分)
三、填空题,本大题共3小题,共21分。
17. 在“油膜法估测油酸分子的大小“实验中:
(1)将1cm3的油酸溶于酒精,制成400cm3的油酸酒精溶液,已知1cm3溶液有50滴,每一滴溶液中的纯油酸体积为_________cm3。现取1滴油酸酒精溶液滴在水上,随着酒精溶于水,油酸在水面上形成一层单分子薄层,其轮廓如图所示,玻璃板上的方格边长为2cm。由以上数据可估算出油酸分子的直径约为_____________m。(保留一位有效数字)。

(2)某同学在实验中的计算结果明显偏大,可能的原因是_________。
A. 油酸还未完全散开
B. 所用油酸溶液中含有大量酒精
C. 计算油膜面积时,将所有不足一格的方格都当作一个格来计算
D. 求每个液滴的体积时,1mL溶液的滴数少记了10滴
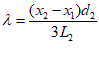
18. 用双缝干涉测光的波长。实验装置如图1所示,已知单缝与双缝间的距离L1=60mm,双缝与屏的距离L2=700mm,单缝宽d1=0.10mm,双缝间距d2=0.25mm。用测量头来测量光屏上干涉亮条纹中心的距离,如图2所示。


(1)分划板的中心刻线分别对准第1条和第4条亮纹的中心时,手轮上的读数如图3所示,则对准第1条时读数x1=_________mm、对准第4条时读数x2=_________mm;
(2)计算波长的公式λ=_________(用题中所给字母表达);
(3)以下哪些操作能够增大光屏上相邻两条亮纹中心之间的距离_________。
A. 增大单缝和双缝之间的距离
B. 增大双缝和光屏之间的距离
C. 将红色滤光片改为绿色滤光片
D. 增大双缝之间的距离
四、计算题,本大题共4小题,共31分。
19. 某金属的逸出功是W0,用波长为λ的紫外线照射该金属的表面,能发生光电效应。已知普朗克常量为h,真空中的光速为c,电子的电荷量为e,求:
(1)该金属的截止频率vC;
(1)光电子的最大初动能Ek;
(2)该光电效应遏止电压UC。
20. 如图所示,真空中有一个半径为R,质量分布均匀的玻璃球,某一频率的细激光束在真空中沿直线BC传播,并于玻璃球表面的C点经折射进入小球,激光束的入射角
=60°,折射角β=30°,真空中的光速为c。求:
(1)玻璃球对该激光束的折射率n;
(2)此激光束在玻璃球中穿越的时间t。

21. 原来静止在磁场中的镭原子核(22688Ra)发生一次α衰变,衰变后放出的α粒子和生成的氡(Rn)原子核运动方向都与匀强磁场的方向垂直,原子核衰变中放出的能量都转化为α粒子和氡核的动能。
(1)写出核反应方程;
(2)计算α粒子与氡核的轨道半径之比;
(3)如果已知镭的原子核质量为m1,氡的原子核质量为m2,α粒子的质量为m3,计算α粒子的动能。
22. 光子除了有能量,还有动量,光子的动量为
。当光照射到物体表面上时,不论光被物体吸收还是被物体表面反射,光子的动量都会发生改变,因而对物体表面产生一种压力。下图是1901年俄国物理学家列别捷夫测量光压的实验装置。T型架通过悬丝竖直悬挂,横臂水平,悬丝一端固定在横臂中点。在横臂的两侧有圆片A和B,两圆片与T型架在同一竖直平面内。圆片A是涂黑的,当光照射到A上时,可以认为光子全部被吸收;圆片B是光亮的,当光照射到B上时,可以认为光子有20%被吸收,80%被反射。分别用光照射在A或B上,都可以引起悬丝的旋转。在悬丝上固定一小平面镜M,用一细光束照射M,就可以获知悬丝扭转的角度。已知真空中光速为c,两个圆片A、B的面积都是S,悬丝转过的角度与光对圆片的压力成正比,用于照射的激光束的光强(单位时间内通过与传播方向垂直的单位面积的光能)为I0。
(1)设某一频率的光的光子能量为E,求光子的动量p与能量E之间的关系;
(2)用激光束垂直照射整个圆片A,平衡时,求激光束对圆片A的压力F的大小;
(3)用激光束垂直照射圆片B的一部分,平衡时,悬丝的扭转角与第(2)题中大小相同,求激光束照射圆片B的面积S’。

参考答案
一、单项选择题,本大题共10小题,共30分。
题号 | 1 | 2 | 3 | 4 | 5 | 6 | 7 | 8 | 9 | 10 |
答案 | A | D | C | C | D | A | C | A | C | B |
二、多选题,本大题共6小题,共18分。
题号 | 11 | 12 | 13 | 14 | 15 | 16 |
答案 | ACD | ABC | AB | BD | BD | AB |
三、填空题,本大题共2小题,共21分。
17. (1) 5×10-5, 2×10-9 (2) AD
18. (1) 2.290,7.768 (2)
(3)B
四、计算题,本大题共4小题,共31分。
19. (6分)(1)
(2)
(3)

20. (6分)(1)
(2)

21. (10分)(1)
(2) 43:1 (3)

22. (9分)(1)

(2)
(3)