北京101中学2020-2021学年上学期高一年级期末考试物理试卷

 

一、单项选择题:本题共15小题,每题2分,共30分。在每小题给出的4个选项中,只有一项是符合题意的,选对的得2分,有选错或不答的得0分。

1. 惯性大的物体(

A. 质量一定大 B. 速度一定大

C. 加速度一定大 D. 速率一定大

2. 如图所示,鸟沿虚线斜向上加速飞行,空气对其作用力可能是(


A. F1 B. F2 C. F3 D. F4

3. “蹦极运动中,长弹性绳的一端固定,另一端绑在人身上,人从几十米高处跳下。将蹦极过程简化为人沿竖直方向的运动。从绳恰好伸直,到人第一次下降至最低点的过程中,下列分析正确的是(

A. 绳对人的拉力始终向上,人的速度先增大后减小

B. 绳对人的拉力始终向上,人的速度一直减小

C. 绳恰好伸直时,绳的拉力为零,人的速度最大

D. 人在最低点时,绳对人的拉力等于人所受的重力

4. 光滑水平桌面上有PQ两个物块,Q的质量是Pn倍。将一轻弹簧置于PQ之间,用外力缓慢压PQ。撤去外力的瞬间,PQ的加速度大小的比值为(

A. B. C. D. 1

5. 一质量为2 kg的物块在合外力F的作用下从静止开始沿直线运动。F随时间t变化的图线如图所示,则(


A. t=2s时物块的速率为1 m/s

B. t=2 s时物块的速率为4 m/s

C. t=4 s时物块的速率为3 m/s

D. t=4 s时物块的速率为1 m/s

6. 如图所示,一根轻质弹簧上端固定在天花板上,下端挂一小球(可视为质点)。现将小球向下拉动一小段距离后释放,小球沿竖直方向做往复运动,途径MN两点。已知小球运动到O点时弹簧为原长,且距MN两点距离相等。小球运动过程中弹簧始终处于弹性限度内。不计空气阻力影响。若小球经过MN两点时弹簧弹力大小分别用F1F2表示,小球的加速度大小分别用a1a2表示,则(


A.
B.

C.
D.

7. 如图,一物块在水平拉力F的作用下沿水平桌面做匀速直线运动。若保持F的大小不变,而方向与水平面成60°角,物块也恰好做匀速直线运动。物块与桌面间的动摩擦因数为(


A. B. C. D.

8. 用卡车运输质量为m的匀质圆筒状工件,为使工件保持固定,将其置于两光滑斜面之间,如图所示。两斜面I固定在车上,倾角分别为30°60°。重力加速度为g。当卡车沿平直公路匀速行驶时,圆筒对斜面I压力的大小分别为F1F2,则(


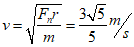
A. B.

C. D.

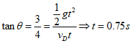
9. 在电梯内的水平地板上有一体重计,某同学站在体重计上,电梯静止时,体重计的示数为60kg。在电梯运动过程中,某一段时间内该同学发现体重计示数为66kg,则这段时间内下列说法正确的是(

A. 该同学所受重力变大 B. 电梯一定在竖直向上运动

C. 电梯一定在竖直向下运动 D. 电梯的加速度方向一定向上

10. 发球机从同一高度向正前方依次水平射出两个速度不同的乒乓球(忽略空气的影响)。速度较大的球越过球网,速度较小的球没有越过球网,其原因是(

A. 速度较小的球下降相同距离所用的时间较多

B. 速度较小的球在下降相同距离时在竖直方向上的速度较大

C. 速度较大的球通过同一水平距离所用的时间较少

D. 速度较大的球在相同时间间隔内下降的距离较大

11. 同一辆汽车分别通过凹桥的最低点和凸桥的最高点时,下列说法正确的是(

A. 通过凸桥时,汽车对路面的压力小,处于失重状态

B. 通过凹桥时,汽车对路面的压力小,处于超重状态

C. 由于速度大小未知,无法比较对路面压力的大小

D. 由于轨道半径大小未知,无法比较对路面压力大小

12. 甲乙两只小船在静水中的速度大小相等,它们从河岸的同一点同时出发,同时向河对岸行驶,河水的流动速度平行河岸,大小和方向保持不变。行驶中甲船头始终沿OA方向,乙船头始终沿OB方向,OAOB与河岸所成夹角均为θ,则(


A. 甲先到对岸

B. 乙先到对岸

C. 甲乙到达对岸时间相等

D. 不知道河水流动速度的具体方向,无法判断谁先到达河岸

13. 如图,水平转盘上的AC两处有两块可视为质点的由同一种材料做成的物块,物块的质量相等,A与轴O的距离是C到轴O的距离的一半。转盘以某一角速度匀速转动时,AC两处的物块都没有发生滑动,下列说法中不正确的是(


A. 当角速度逐渐增大时,C处的物块最先滑动起来

B. 当角速度逐渐增大时,AC处的物块同时滑动起来

C. C处物块的向心加速度大

D. A处物块受到的静摩擦力最小

14. 如图,轻弹簧的下端固定在水平桌面上,上端放有物块P,系统处于静止状态。现用一竖直向上的力F作用在P上,使其向上做匀加速直线运动。以x表示P离开静止位置的位移,在弹簧恢复原长前,下列表示Fx之间关系的图象可能正确的是(



A B C D

15. 电磁炮是利用电磁发射技术制成的一种先进高能量杀伤武器。与传统大炮将火药燃气压力作用于弹丸不同,电磁炮是利用电磁系统中电磁场产生的磁场力来对金属炮弹进行加速,可大大提高炮弹的速度和射程。某一试验研制的电磁炮,发射轨道宽L=2m,长x=50m,可将m=300g的弹丸加速到v=4km/s。假设弹丸在恒定合外力作用下在轨道上做匀加速直线运动,下列说法正确的是(

A. 其它条件不变,若弹丸质量变为原来的2倍,射出速度将变为原来的

B. 其它条件不变,若弹丸质量变为原来的2倍,射出速度将变为原来的

C. 其它条件不变,若发射轨道的长度变为原来的2倍,加速时间将变为原来的2

D. 其它条件不变,若发射轨道的长度变为原来的2倍,加速时间将变为原来的

 

二、不定项选择题:本题共6小题,每小题3分,共18分。在每小题给出的四个选项中,至少有一个选项正确,全部选对的得3分,选不全的得2分,有选错或不答的得0分。

16. 关于质点的曲线运动,下列说法中正确的是

A. 曲线运动肯定是一种变速运动

B. 变速运动必定是曲线运动

C. 曲线运动必须是速率变化的运动

D. 曲线运动可以是加速度不变的运动

17. 某快递公司分拣邮件的水平传输装置示意如图,皮带在电动机的带动下保持v=1m/s的恒定速度向右运动。现将一质量为m=2kg的邮件轻放在皮带上,邮件和皮带间的动摩擦因数μ=0.5。设皮带足够长,取g=10m/s2,下列说法正确的是(


A. 邮件与皮带发生相对滑动的时间0.2s

B. 邮件与皮带发生相对滑动的时间因未知皮带长度,不能求解

C. 邮件与皮带发生相对滑动过程中,邮件对地的位移大小为0.1m

D. 邮件与皮带发生相对滑动过程中,邮件对皮带的位移大小为0.2m

18. 我国高铁技术处于世界领先水平,和谐号动车组是由动车和拖车编组而成,提供动力的车厢叫动车,不提供动力的车厢叫拖车。假设动车组各车厢质量均相等,一节动车提供的动力相同为F,动车组在水平直轨道上运行过程中每节车厢受到阻力相同为f。某列动车组由8节车厢组成,其中第15节车厢为动车,其余为拖车,则该动车组(


A. 启动时乘客受到车厢作用力的方向与车运动的方向相反

B. 做匀加速运动时,第56节间车厢间的作用力为0.75F

C. 做匀加速运动时,第56节间车厢间的作用力为F

D. 做匀加速运动时,第67节车厢间的作用力为0.5F

19. 雨滴落到地面的速度通常仅为几米每秒,这与雨滴下落过程中受到空气阻力有关。一雨滴从空中由静止开始沿竖直方向下落,雨滴下落过程中所受重力保持不变,其速度时间图象如图所示,则雨滴下落过程中(


A. 速度先增大后减小

B. 加速度逐渐减小

C. 受到的合力逐渐减小

D. 受到的空气阻力不变

20. 如图,轻绳OA拴着质量为m的物体,在竖直平面内做半径为R的圆周运动,下列说法正确的是(


A. 小球过最高点时,绳子拉力可以为零

B. 小球过最高点时的最小速度是0

C. 若将轻绳OA换成轻杆,则小球过最高点时,轻杆对小球的作用力可以与小球所受重力大小相等,方向相反

D. 若将轻绳OA换成轻杆,则小球过最高点时,小球过最高点时的最小速度是

21. 如图所示,质量为1.5kg,长为2.0m的木板A放在水平地面上,木板A与地面间的动摩擦因数为0.1。木板A上放置质量为0.5kg的物体B,物体B可以看成质点,B位于木板A中点处,物体AB之间的动摩擦因数为0.1,最大静摩擦力大小等于滑动摩擦力大小,现用水平拉力F拉木板A


A. 使木板AB下抽出,水平拉力F>3.0N

B. 使木板AB下抽出,水平拉力F>4.0N

C. 当水平拉力F=7.0N时, A板与B板发生相对滑动

D. 当水平拉力F=3.0N时, A板与B板仍相对静止

 

三、填空题、实验题:本题共4小题,共25分。

22. 如下图所示,是某同学用打点计时器研究小车做匀变速直线运动时得到的一条纸带。图中ABCDE是按打点先后顺序依次选取的5个计数点,相邻计数点间的时间间隔T=0.1s。根据图中数据可知小车做__________(选填匀加速直线匀减速直线)运动;计数点BD对应的时间间隔内小车的平均速度大小为__________m/s。小车运动的加速度大小为__________m/s2


23. 用如图所示装置做研究两个互成角度的共点力的合成规律实验,主要步骤是:


在水平桌面上放一块方木板,在方木板上铺一张白纸,用图钉把白纸钉在方木板上;

用图钉把橡皮条的一端固定在木板上的A点,在橡皮条的另一端系上两条细绳,细绳的另一端系着绳套;

用两个弹簧秤分别钩住绳套,互成角度地拉橡皮条,使橡皮条伸长,橡皮条与细绳的结点到达某一位置O,记下O点的位置及两个弹簧秤的示数F1F2

按选好的标度,分别作出力F1F2的图示,并用平行四边形定则求出合力F

只用一个弹簧秤,通过细绳套拉橡皮条使其伸长,读出弹簧秤的示数F',记下F'的方向,按同一标度作出这个力F'的图示;

比较力F'和F的大小和方向,得出结论。

回答下列问题:

1)步骤中遗漏的重要操作是______________________________

2)步骤中遗漏的重要操作是____________________________

3FF'两力中,方向一定沿AO方向的是____________。(填字母代号)

A. F B. F

4)下列操作有利于减小实验误差的是
(填字母代号)。

A. 拴在橡皮条上的两条细绳必须等长

B. 实验前将两弹簧测力计调零后水平互钩对拉,选择两个读数相同的测力计

C. 把橡皮条的另一端拉到O点时,两弹簧测力计间的夹角必须取90°

D. 用两弹簧测力计拉橡皮条时,两弹簧测力计的示数必须相同

24. 用如图所示的实验装置研究:小车质量一定的情况下,加速度与合力的关系。主要实验步骤如下:


A. 如图所示,安装实验器材,调节轨道的倾角,轻推小车,使小车恰能做匀速直线运动;

B. 用质量相等的若干槽码挂在细线的一端,细线的另一端与小车相连;

C. 将小车放于靠近打点计时器处,接通电源,释放小车,得到一条打好点的纸带并记录槽码的个数n

D. 保持小车的质量不变,改变挂在细线上质量相等的槽码的个数,再做几次实验;

E. 在每条纸带上选取一段比较理想的部分,算出每条纸带的加速度a

F. 将各次实验中的数据填入表中,作出a n图象。

结合上述实验步骤,完成下列问题:

1)实验步骤A的目的是让小车加速运动时,小车所受合力的大小________细线拉力的大小。
(填字母代号)

A. 大于 B. 小于 C. 等于

实验过程中实验数据如下表所示:

序号

槽码的个数


n

加速度

a/m· s-2

1

1

0.12

2

2

0.24

3

3

0.37

4

4

0.47

5

5

0.60

以加速度a为纵轴、槽码的个数n为横轴建立直角坐标系,在坐标纸上描点,如下图所示。


2)请在该图中用“+”标出第5条纸带对应的坐标点,并画出an图象。

3)观察an图象,可以判断小车的加速度a与合力F的关系是成________(填字母代号)。

A. 正比 B. 反比

4)若换用一个质量更大的小车重新做这个实验,an图象的斜率应________(填字母代号)。

A. 变大 B. 变小 C. 不变

25. 研究平抛运动实验中:

1)图1是横挡条卡住平抛小球,用铅笔标注小球最高点,确定平抛运动轨迹的方法,坐标原点应选小球在斜槽末端点时的________(填选项前的字母)


1

A. 球心

B. 球的上端

C. 球的下端

2)在此实验中,下列说法正确的是________(填选项前的字母)

A. 斜槽轨道必须光滑

B. 记录的点应适当多一些

C. 用光滑曲线把所有的点连接起来

D. y轴的方向根据重垂线确定

3)图2是利用图1装置拍摄小球做平抛运动的频闪照片,由照片可判断实验操作错误的是__________(填选项前的字母)。


2

A. 释放小球时初速度不为0

B. 释放小球的初始位置不同

C. 斜槽末端切线不水平

4)图3是利用稳定的细水柱显示平抛运动轨迹的装置,其中正确的是________(填选项前的字母)


3

5)如图所示,是研究小球做平抛运动过程中所得到小球的平抛运动轨迹,某同学忘了记录平抛运动的起始点,于是他在平抛轨迹上选出一点为坐标原点,沿竖直方向建立y轴,垂直y轴方向建立x轴。已知轨迹上A点的坐标是:xA=0.30myA=0.10mB点的坐标是:xB=0.60myB=0.30m,若g10m/s2,则:小球平抛的初速度大小为______________m/s,小球经B点时的竖直分速度的大小为______________m/s


 

四、计算题:本题共4小题,共27分,解答要写出必要的文字说明、方程式和重要的演算步骤。直接写出最后答案的不得分。

26. 6分)质量为m=2kg的物体,静止在水平地面上,物体与水平地面间的动摩擦因数μ=0.5,现对物体施加拉力大小F=20N的作用,方向与水平成方向成θ=37°斜向上,如图所示(取g=10m/s2sin370=0.6cos370=0.8)。求:


 

1)物体运动的加速度;

2)若物体运动4s后撤去力F,物体运动的总路程是多少?

27. 6分)如图所示,用长度为40cm的细线吊着一质量为2kg小球,使小球在水平面内做匀速圆周运动,运动过程中细线与竖直方向上的夹角为37°,求:


1)细线的拉力F

2)小球运动的线速度v。(取g=10m/s2sin37°=0.6cos37°=0.8

28. 6分)在真空环境内探测微粒在重力场中能量的简化装置如图所示。P是一个微粒源,能持续水平向右发射质量相同、初速度不同的微粒。高度为h的探测屏AB竖直放置,离P点的水平距离为L,上端AP点的高度差也为h,重力加速度为g


1)若微粒打在探测屏AB的中点,求微粒在空中飞行的时间;

2)求能被屏探测到的微粒的初速度范围;

3)若打在探测屏AB两点的微粒的速度大小相等,求Lh的关系。

29. 9分)如图,传送带CD与圆弧轨道AB、与斜面DE均光滑接触。质量为m的物体(物体可视为质点),沿圆弧轨道下滑至最低点B时,对轨道压力大小为FB=3Mg,随后速度不变的滑上传送带CD,传送带速度为v0=6m/s,方向如图。物体与传送带、物体与斜面之间的动摩擦因数均为µ=0.5,斜面DE与水平方向的夹角θ=37°,圆弧轨道半径R=0.8mCD长度L=0.9m。(取g=10m/s2sin37°=0.6cos37°=0.8


1)物体沿圆弧轨道下滑至圆弧轨道最低点B时,速度大小为多大?

2)设物体离开D点后,立即脱离传送带而水平抛出,求:

物体离开D点后落到斜面DE上的速度大小?

若物体与斜面发生碰撞后,将损失垂直斜面方向的速度,而只保留了沿斜面方向的速度,且测得物体沿斜面加速下滑至斜面底端E点的速度大小vE=9.5m/s,则物体碰撞点与斜面底端E的距离多大?

 

参考答案

 

1

2

3

4

5

6

7

8

9

10

A

B

A

B

D

D

C

D

D

C

 

11

12

13

14

15

A

C

B

A

B

 

16

17

18

19

20

21

AD

AC

BD

BC

AC

BCD

 

22.1)匀加速直线
20.22 30.80

23. 1)未记录力F1F2的方向

2)未明确是否把橡皮条与细绳的结点拉到位置O 3B 4B

24. 1C 2)见下图
3A 4 B


25. 1B (2 BD (3C (4B 5 3.0m/s , 2.5m/s

26. 解:(1


2


27. 解:(1)由图可知:

2


28. 1 (2LvL (3L=2h

29.9分)解:(1

2)若物体一直加速有:

,因5m/s<6m/s,所以:物体脱离传送带速度:



沿斜面和垂直斜面分解可得沿斜面速度为:


由牛顿运动定律有:


由运动学公式有:

发表评论